当前位置:首页 > 阅读 > 数控铣手工编程教学以及案例 (数控铣高级技师手工编程考试图纸)

数控铣手工编程教学以及案例 (数控铣高级技师手工编程考试图纸)

数控铣手工编程教学以及案例 (数控铣高级技师手工编程考试图纸)

一.坐标系及坐标系方向

1.标准坐标系(右手直角笛卡儿坐标系)

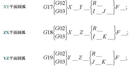
2.圆弧插补G02/G03

指令格式分别如下:

指令含义(XY平面为例):

圆弧的终点位置与圆心:

圆弧编程实例:

(1) 圆弧a

G91 G02 X30. Y30. R30. F300

G91 G02 X30. Y30. I30. J0. F300

G90 G02 X0 Y30. R30. F300

G90 G02 X0 Y30. I30. J0. F300

(2) 圆弧b

G91 G02 X30. Y30. R−30. F300

G91 G02 X30. Y30. I0 J30. F300

G90 G02 X0 Y30. R−30. F300

G90 G02 X0 Y30. I0 J30. F300

整圆编程实例:

(1) 从A 点顺时针一周时

G90 G02 X30. Y0 I−30. J0 F300

G91 G02 X0 Y0 I−30. J0 F300

(2) 从B 点逆时针一周时

G90 G03 X0 Y−30. I0 J30. F300

G91 G03 X0 Y0 I0 J30. F300

注意

(1) 顺时针或逆时针是从垂直于圆弧所在平面的坐标轴的正方向看到的回转方向

(2) 整圆编程时不可以使用R 只能用I J K

(3) 同时编入R 与I J K 时R 有效

3.螺旋线进给G02/G03

说明

1.X, Y, Z 中由G17/G18/G19 平面选定的两个坐标为螺旋线投影圆弧的终点意义同圆弧进给第3 坐标是与选定平面相垂直的轴终点其余参数的意义同圆弧进给。

2.该指令对另一个不在圆弧平面上的坐标轴施加运动指令对于任何小于360 的圆弧可附加任一数值的单轴指令。

螺旋线进给编程实例:

(1)G91 编程时

G91 G17 F300

G03 X-30. Y30. R30. Z10.

(2)G90 编程时

G90 G17 F300

G03 X0 Y30. R30. Z10.

4.自动返回参考点G28

格式:G28 X_Y_Z_

说明:

X Y Z 为回参考点时经过的中间点。

G90 时为中间点在工件坐标系中的坐标。

G91 时为中间点相对于起点的位移量。

G28 指令首先使所有的编程轴都快速定位到中间点,然后再从中间

点返回到参考点。

一般G28 指令用于刀具自动更换或者消除机械误差,在执行该指

令之前应取消刀具半径补偿和刀具长度补偿。

利用G28从当前点直接回参考点:

G91 G28 Z0;

G28 X0 Y0;

注意:当X、Y、Z都要回参考点时,一定要让Z轴先回参考点后,X、Y轴再回参考点。

5.数控加工程序编制

图一

O0001;

G54;

G21 ;

G17 G40 G49 G80 G90 ;

M03 S500 ;

G90 G00 X40. Y0 ;

Z10.;

G01 Z0 F50;

G03 X30. Y0 I-40. Z-0.5 F100;

X40. Y0 I-40.;

G01 Z5. F100;

G28 G91 Z0 ;

G28 G91 X0 Y0 ;

M30;

%

图2

图3

O0001 ;

G54 ;

G21 ;

G17 G40 G49 G80 G90 ;

M03 S500 ;

G90 G00 X80. Y0 ;

Z10. ;

G01 Z-3. F500;

G42 X40. D1 (2、3、4) F100;

G03 X40. Y0 I-40.;

G40 G01 X80. ;

G00 Z10. ;

G28 G91 Z0 ;

G28 G91 X0 Y0 ;

M30;

%

刀具半径补偿值设定:

1=28. 2=20. 3=12. 4=10.

刀具直径:Φ20mm

6.刀具半径补偿(G41、G42、G40)

该指令用于刀具半径方向的补偿, 它使刀具中心偏离编程轮廓一个刀具半径值, 这样当刀具在半径尺寸发生变化时, 可以在不改变程序的情况下, 通过改变刀具半径偏置量, 加工出所要求的零件尺寸。

刀具半径补偿功能的优点:

1.在编程时可以不考虑刀具的半径,直接按照图样所给尺寸编程,值只要在实际加工时输入刀具的半径即可。

2.可以使粗加工的程序简化,如图,通过有意识地改变刀具半径补偿量,则可以用同一把刀具、同一程序、不同的切削余量完成切削。

左刀补:沿着刀具前进方向刀具在工件轮廓左侧的补偿

右刀补:沿着刀具前进方向刀具在工件轮廓右侧的补偿

刀具半径补偿取消:

刀具半径补偿的过程分为以下三步:

(1)刀补的建立

就是当刀具从起点接近工件时, 刀具中心从与编程轨迹重合过渡到与编程轨迹偏离一个偏置量的过程。 如图所示,OA段为建立刀补段, 必须用直线G01或G00编程, 示例程序段如下:

G41 G01 X50.0 Y40.0 F100 D01; 或 G41 G00 X50.0 Y50.0 D01;若不用刀具半径补偿, 则当OA段程序执行结束时, 刀具中心在A点; 如采用刀补, 则刀具将让出一个刀具半径的偏移量, 使刀具中心移动到B点。

(2) 刀补进行。

在G41、 G42程序段执行后, 刀具中心始终与编程轨迹相距一个偏置量, 直到刀补取消。

(3) 刀补的取消。

即刀具离开工件, 刀具中心轨迹过渡到与编程轨迹重合的过程。 如图中CO段为取消刀补段, 和建立刀补一样, 也必须用直线G01或G00编程, 示例程序段如下:

G40 G01 X0.0 Y0.0;或 G40 G00 X0.0 Y0.0; 取消刀补完成后, 刀具又回到了起点位置O。

图一

刀具半径补偿三要素:

1.刀具补偿方向(G41\G42)

2.刀具偏置大小(D)

3.刀具进给方向(刀补语句行后两行必须出现刀补平面上的移动)

O0001;

G54;

M03 S1000;

G90 G00 X0 Y0;

Z10.;

G01 Z-0.5 F100;

G41 G01 X30. Y30. D1

G01 Y80.;

G01 X80.;

G01 Y30.;

G01 X30.;

G40 G01 X0 Y0;

G00 Z10.

M30;

7.用户宏指令

用户宏程序允许使用变量算术和逻辑运算及条件转移,使得编制相同加工操作的程序更方便更容易。可将相同加工操作编为通用程序,如型腔加工宏程序和固定加工循环宏程序,使用时加工程序可用一条简单指令调出用户宏程序,和调用子程序完全一样。

(1)用户宏指令(变量)

普通加工程序直接用数值指定G代码和移动距离,例如G01和X100.0。使用用户宏程序时数值可以直接指定或用变量指定,当用变量时,变量值可用程序或用MDI面板上的操作改变。

#1=#2+100.;

G01 X#1 F300;

表达式可以用于指定变量号,此时表达式必须封闭在括号中

例如#[#1+#2-12]

(2)用户宏指令(算数与逻辑运算)

(3)用户宏指令(运算符)

(4)用户宏指令循环(while 语句)

语句格式:

在WHILE 后指定一个条件表达式。当指定条件满足时,执行从DO 到END之间的程序,否则转到END后的程序段。DO 后的号和END 后的号是指定程序执行范围的标号,标号值为1、 2 、3。

(5)用户宏指令循环语句的嵌套

(6)用户宏指令(转移语句)

条件转移语句:

如果指定的条件表达式满足时,转移到标有顺序号n 的程序段。如果指定的条件表达式不满足,执行下个程序段。

8.数控加工程序编制(XYZ都分层)

图一

刀具半径补偿值设定:

1=28.

2=20.

3=12.

4=10.

刀具直径:Φ20mm

O0001 ;

#1=1

G54 ;

G21 ;

G17 G40 G49 G80 G90 ;

M03 S500 ;

G90 G00 X80. Y0 ;

Z10. ;

G01 Z-3. F500;

WHILE [ #1 LE 4 ] DO1

G42 X40. D#1 F100;

G03 X40. Y0 I-40.;

G40 G01 X80. ;

#1 = #1+1

END 1

G00 Z10. ;

M05 ;

G28 G91 Z0 ;

G28 G91 X0 Y0 ;

M30;

%

图二

刀具半径补偿值设定:

1=28.

2=20.

3=12.

4=10.

刀具直径:Φ20mm

O0001 ;

G54 ;

G21 ;

G17 G40 G49 G80 G90 ;

M03 S500 ;

G90 G00 X80. Y0 ;

Z10. ;

#2=0.5;

WHILE [#2 LE 5] DO1;

G01 Z-#2. F500;

#1=1;

WHILE [ #1 LE 4 ] DO2;

G42 X40. D#1 F100;

G03 X40. Y0 I-40.;

G40 G01 X80. ;

#1 = #1+1;

END 2;

#2=#2+0.5

END1;

G00 Z10. ;

M30 ;

图3

刀具半径补偿值设定:

1=28.

2=20.

3=12.

4=10.

刀具直径:Φ20mm

O0001 ;

#1=1

G54 ;

G21 ;

G17 G40 G49 G80 G90 ;

M03 S500 ;

G90 G00 X80. Y80. ;

Z10. ;

G01 Z-3. F500;

WHILE [ #1 LE 4 ] DO1

G42 G01 Y40. D#1 F100;

X0;

G03 X0 Y40. J-40.;

G01 X-10.

G40 G01 Y80. ;

X80.

#1 = #1+1

END 1

G00 Z10. ;

M05 ;

G28 G91 Z0 ;

G28 G91 X0 Y0 ;

M30;

%

在此感谢各位老铁们的观看,觉得可以的,可以点个赞,再来个关注,外加收藏转发,感谢各位老铁的支持,希望你们越来越顺。

以上就是(数控铣手工编程教学以及案例 (数控铣高级技师手工编程考试图纸))全部内容,收藏起来下次访问不迷路!